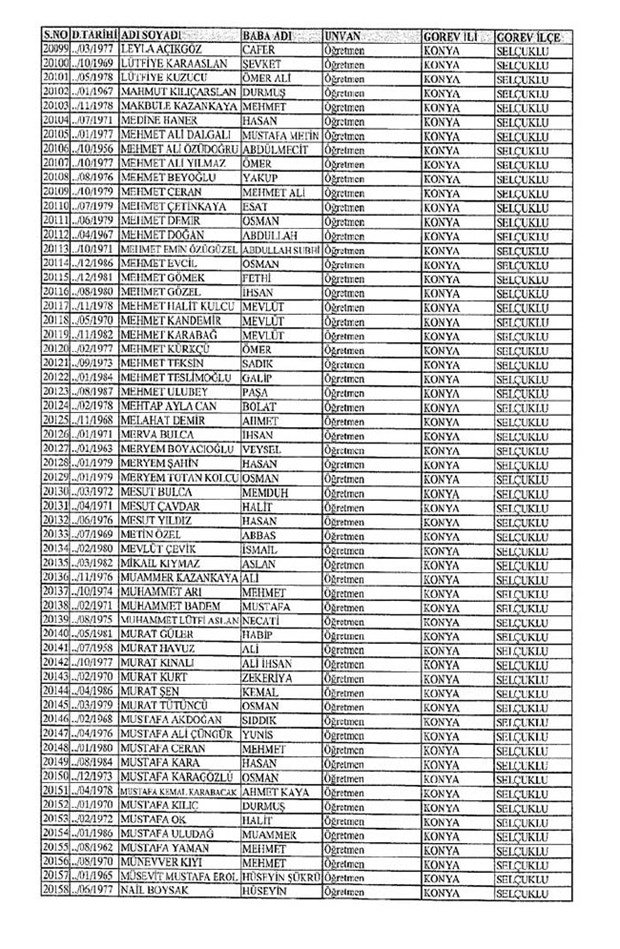
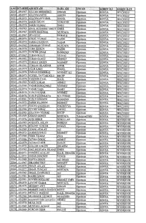
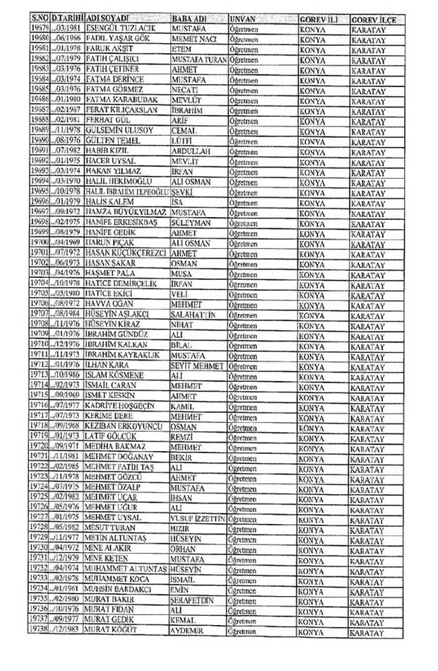
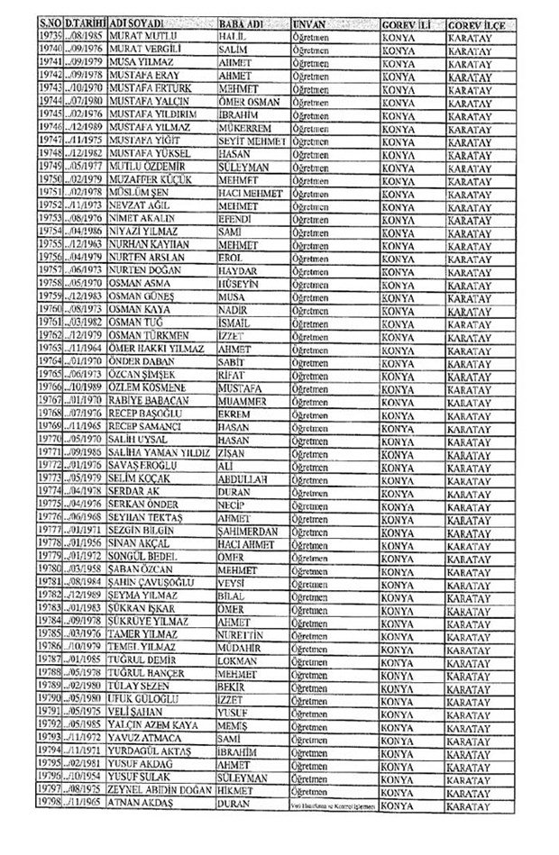
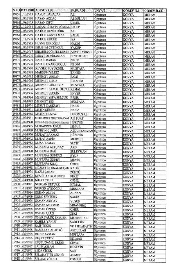
KHK ile Konya'da lisansı iptal edilen öğretmenler
673 sayılı Kanun Hükmünde Kararname yayımlandı.
Bakmadan Geçme
Konya merkezde bir kişi silahla vuruldu! Polisler adrese akın etti
Konyaspor’da kadro şekillendi: 3 yeni transfer
Konya’nın sanat durağında yeni sezon dolu dolu başlıyor!
Saç ve sakalda yeni etki: Sosyal medya
Konya'da hızlı tren garında operasyon! Baroya kayıtlı avukat uyuşturucuyla yakalandı
Konya için uyarı verildi!

