Konya 85 adet arsa Hazine tarafından satışa çıkarıldı
Konya'da Kulu Kaymakamlığı Milli Emlak Şefliği 85 adet Hazine taşınmazının ihale edileceğini duyurdu.
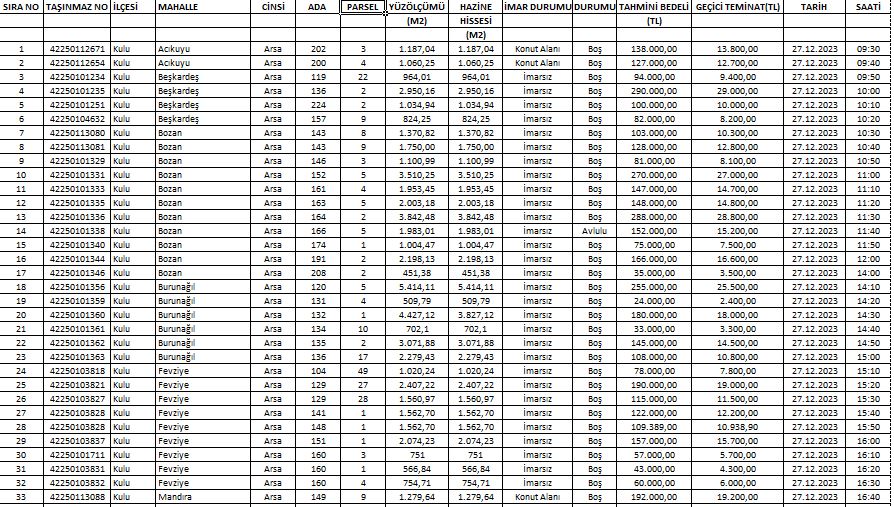
Konya'nın Kulu ilçesinde 85 adet arsa hazine tarafından ihale edilecek.
İhaleye ilişkin ayrıntılar şöyle:

Ayrıntılı taşınmaz listesi için buraya tıklayın
1- Yukarıda özellikleri belirtilen taşınmazlar 2886 Sayılı Devlet İhale Kanununun 45. Maddesine göre Açık Teklif Usulü ile satışı, hizalarında gösterilen gün ve saatte, Kulu Milli Emlak Şefliği Toplantı Odasında dosyalarında mevcut şartname gereğince yapılacaktır. (Karşıyaka Mahallesi Ankara Caddesi Hükümet Konağı Kat :3 Kulu Milli Emlak Şefliği 42770 Kulu/Konya)
2- Teklifler posta ile iadeli taahhütlü olarak gönderilebilir. Posta ile gönderilen tekliflerin ilanda belirtilen ihale saatine kadar Komisyon Başkanlığına ulaşması şarttır.
3- Postayla gönderilen teklifler son ve kesin teklif olarak kabul edilecektir. Postada meydana gelen gecikmeler dikkate alınmayacaktır.
4- Satışı yapılan taşınmazlar K.D.V den satış ve devir işlemleri ile bu işlemler sırasında düzenlenen belgeler vergi, resim ve harçtan müstesnadır. Satışı yapılan taşınmazlar 5 yıl süreyle Emlak Vergisinden muaftır. Kiralama ve Taşınır satış ihalesi sonucu oluşacak ihale bedeli üzerinden K.D.V. , Karar Pulu, Damga Vergisi alınacaktır.
5- Satışı yapılan taşınmazların İhale bedeli defaten ödenebileceği gibi, ihale bedeli peşin ödenmesi halinde %20 indirim uygulanır. ihale bedelinin 5.000,00.-TL'yi aşması halinde, talep üzerine bedelin 1/4 'ü peşin, kalan kısmı yıllık kanuni faiz uygulanmak suretiyle en fazla iki yılda, taksitler halinde ödenmek üzere taksitlendirme yapılabilecektir.
6- Şartname ve ekleri İdaremizde bedelsiz olarak görülebilir.
7- İhaleye katılabilmek için isteklilerin;
a) Yasal yerleşim yeri sahibi olmaları,
b) Tebligat için Türkiye'de adres göstermeleri,
c) Geçici teminata ait belge ile birlikte TC kimlik numarası bulunan Kimlik Belgesinin aslı ve fotokopisi (Geçici teminatların banka teminat mektubuyla verilmesi halinde, Teminat Mektubunun Geçici, Süresiz, Limit içi olması ve teyit yazısının da ibrazı gerekir.)
d) Özel Hukuk Tüzel kişilerinde 2022 yılı vizeli ticaret odası veya meslek odası sicil kaydı ve ihaleye katılacak kişi için düzenlenmiş noter tasdikli yetki belgesi ve imza sirküsü,
e) Gerçek şahıslar adına vekaleten katılacakların Noter tasdikli vekaletnamelerinin aslı ile birlikte Komisyon huzurunda hazır bulunmaları gerekir.
8- İşgalli veya hisseli taşınmazlardan doğacak her türlü ihtilaflar alıcısına ait olup, Satışın herhangi bir aşamasında imar değişikliği sonucu doğacak hukiki sorumluluk alıcıya aittir. Kurumumuzun herhangi bir sorumluluğu bulunmamaktadır.
9- Komisyon, ihaleyi yapıp yapmamakta serbesttir. Komisyonların ihaleyi yapmama kararı kesindir.
10- Türkiye genelindeki ihale bilgileri http://www.milliemlak.gov.tr adresinden öğrenilebilir.
11- Gecici Teminatlar Kulu Ziraat bankası Kulu Malmüdürlüğü IBAN :TR77 0001 0005 1000 0010 0056 11 numaralı hesaba yatırılacaktır.
Bakmadan Geçme