Konya merkezde 12 arsa uygun fiyata satılacak

Konya'da mülkiyeti Selçuklu Belediyesine ait 12 gayrimenkulun Pazarlık Usulü ile satışları yapılacak.

Selçuklu Belediye Başkanlığı, arsa satış ilanı yayımladı.

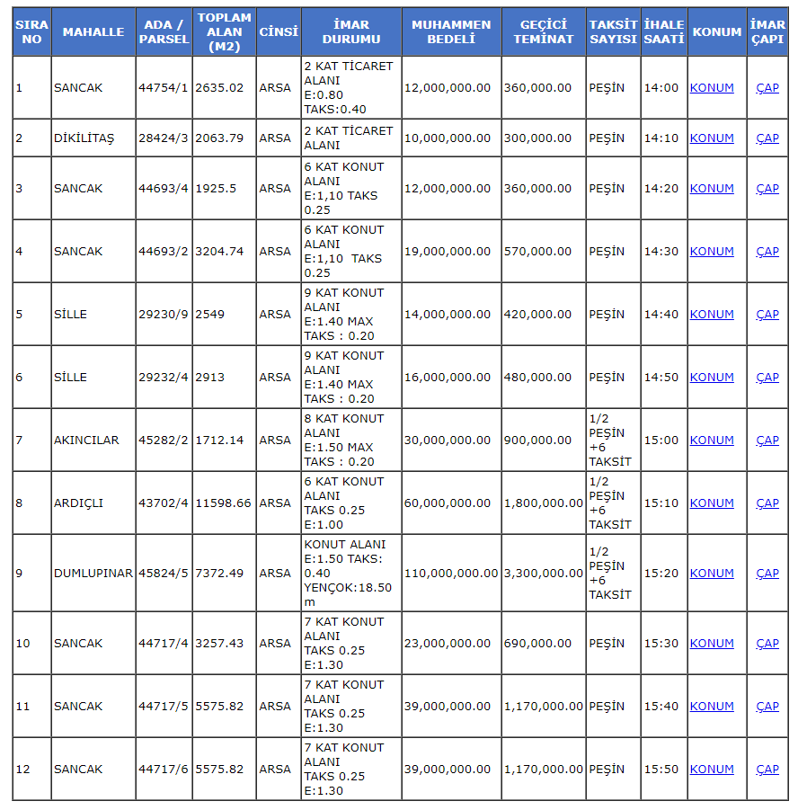
Selçuklu ilçesindeki Sancak, Dikilitaş, Sille, Akıncılar, Ardıçlı ve Dumlupınar mahallelerindeki arsaların satışlarına ilişkin ayrıntılar belli oldu.

İLAN AYRINTILARI

  1. Mülkiyeti Selçuklu Belediyesine ait aşağıda tapu kaydı yazılı gayrimenkullerin 2886 Sayılı Yasanın 35/D Maddesi hükümleri dahilinde Pazarlık Usulü ile satışları yapılacaktır. Şartname ve ekleri Selçuklu Belediyesi Emlak ve İstimlâk Müdürlüğünde ücretsiz olarak görülebilir.
  2. İhale 21/12/2023 Perşembe günü listede belirtilen saatte Encümen Salonunda yapılacaktır. İhaleyi yapıp yapmamakta ve uygun bedeli tespitte Belediye Encümeni tamamen serbesttir.
  3. Satış bedelinin ilk taksiti ihale onayının tebliğinden itibaren 15 gün içerisinde ödenecek olup toplam taksit miktarı listede belirtilmiştir.
  4. Kanunun öngördüğü tapu harcı, ihale sebebiyle tahakkuk edecek gazete ilan ücreti, damga vergisi (0,00569), sözleşme ücretleri (noter onaylı) ve kati teminat (% 6) alıcıya (müşteriye) aittir. K.D.V. den muaftır.
  5. Muhammen bedel ile geçici teminat miktarları aşağıda belirtilmiştir.
  6. İhaleye katılacak olanlardan istenen belgeler;

Aşağıda bulunan A,B,C bentlerinde istenilen belgelerin asılları veya noter tasdikli suretleri olması zorunludur.

A- Gerçek kişi olması halinde:

  1. 1 adet dilekçe, Kanuni ikamet belgesi, T.C. Kimlik numarası bulunan Nüfus Cüzdanı Fotokopisi,
  2. Türkiye de tebligat adres beyanı ve ayrıca irtibat için telefon ve faks numarası,
  3. Noter tasdikli İmza beyannamesi,
  4. Vekil ise noter tasdikli vekâletname ve vekile ait imza beyannamesi,
  5. Selçuklu Belediyesine herhangi bir borcu bulunmadığına dair belge,
  6. Geçici Teminata ait alındı belgesi veya Banka teminat mektubu ( Süresiz ve limit içi ),

B- Tüzel Kişi olması halinde:

  1. 1 Adet dilekçe,
  2. Türkiye de tebligat adres beyanı ve ayrıca irtibat için telefon ve faks numarası,
  3. Noter tasdikli imza beyannamesi,
  4. Vekil ise noter tasdikli vekâletname ve vekile ait imza beyannamesi,
  5. Ticaret ve/veya Sanayi odası veya esnaf ve sanatkârlar sicil kayıt belgeleri (2023 yılı-Tüzel kişi )
  6. Selçuklu Belediyesine her hangi bir borcu bulunmadığına dair belge,
  7. Geçici Teminata ait alındı belgesi veya Banka teminat mektubu ( Süresiz ve limit içi ),

C- İsteklerin Ortak Girişim Olması Halinde:

  1. Ortak girişim olması halinde tasdikli ortak girişim beyannamesi ile ortaklarca imzalanmış ortaklık sözleşmesi ve A ve B bendinde belirtilen belgelerin ayrı ayrı verilmesi zorunludur.
  1. Ödeme Şekli:
  1. Satış bedelinin ilk taksiti ihale onayının tebliğinden itibaren 15 gün içerisinde ödenecek olup toplam taksit miktarı listede belirtilmiştir.
  2. Kanunun öngördüğü tapu harcı, ihale sebebiyle tahakkuk edecek gazete ilan ücreti, damga vergisi (0,00569), sözleşme ücretleri (noter onaylı) ve kati teminat (% 6) alıcıya (müşteriye) aittir.
  3. İhaleye katılacak kişilerin ihale evraklarını en geç 20/12/2023 günü saat 17.00’ye kadar Emlak İstimlak müdürlüğüne teslim etmeleri gerekmektedir. K.D.V. den muaftır.

İLANDA YER ALAN ARSA BİLGİLERİ:

selcuklu-belediye-baskanligi-arsa-satis-ilani-yayimladi.png

Bakmadan Geçme