• Haberler
  • Konya
  • Konya merkezde 16 adet taşınmaz satılıyor! İşte fiyatları

Konya merkezde 16 adet taşınmaz satılıyor! İşte fiyatları

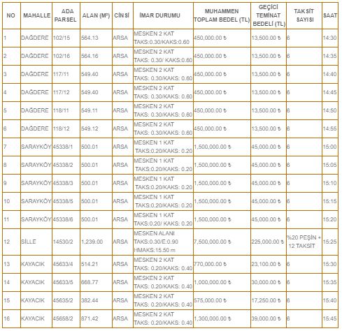
Konya merkezde mülkiyeti Selçuklu Belediyesine ait bazı taşınmazlar satışa çıkarıldı. Haberimizde satışa çıkarılan taşınmazların bilgisi yer alıyor.

Konya'da satılık arsa arayanları ilgilendiren yeni bir ilan yayımlandı.

İlana göre Konya merkezde 16 adet taşınmazın satışa çıkarıldığı duyuruldu.

İlanda taşınmazların açık teklif usulü ile geçrekleştirileceği belirtilerek ihaleye katılacak kişilerin en geç 6 Kasım 2024'e kadar evraklarını temsil etmeleri gerektiği hatırlatıldı.

Dağdere, Sarayköy, Sille ve Kayacık mahallelerindeki taşınmaların satışı ile ilgili ayrıntılar şöyle:

SELÇUKLU BELEDİYE BAŞKANLIĞI ARSA SATIŞ İLANI

1. Mülkiyeti Selçuklu Belediyesine ait aşağıda tapu kayıtları yazılı gayrimenkuller 2886 Sayılı Yasanın hükümleri dâhilinde Açık Teklif Usulü ile satışı yapılacaktır.
2. İhale tarihi 07/11/2024 Perşembe günü listede belirtilen saatte Meclis Salonunda yapılacaktır. İhaleyi yapıp yapmamakta ve uygun bedeli tespitte Belediye Encümeni tamamen serbesttir.
3. İhaleye katılacak kişilerin ihale evraklarını en geç 06/11/2024 günü saat 17.00’ye kadar Emlak ve İstimlak Müdürlüğüne teslim etmeleri gerekmektedir.
4. Belirtilen saatten sonra yapılan müracaatlar kabul edilmeyecektir.
5. Şartname ve ekleri Belediyemiz Emlak ve İstimlâk Müdürlüğünde ücretsiz olarak görülebilir.
6. İhaleye katılacak olanlardan istenen belgeler;
Aşağıda bulunan A,B,C bentlerinde istenilen belgelerin asılları veya noter tasdikli suretleri olması zorunludur.
A- Gerçek kişi olması halinde:
a. 1 adet dilekçe, Kanuni ikamet belgesi, T.C. Kimlik numarası bulunan Nüfus Cüzdanı Fotokopisi,
b. Türkiye de tebligat adres beyanı ve ayrıca irtibat için telefon ve faks numarası,
c. Noter tasdikli İmza beyannamesi,
d. Vekil ise noter tasdikli vekâletname ve vekile ait imza beyannamesi,
e. Selçuklu Belediyesine herhangi bir borcu bulunmadığına dair belge,
f. Geçici Teminata ait alındı belgesi veya Banka teminat mektubu ( Süresiz ve limit içi ),
B- Tüzel Kişi olması halinde:
a. 1 Adet dilekçe,
b. Türkiye de tebligat adres beyanı ve ayrıca irtibat için telefon ve faks numarası,
c. Noter tasdikli imza beyannamesi,
d. Vekil ise noter tasdikli vekâletname ve vekile ait imza beyannamesi,
e. Ticaret ve/veya Sanayi odası veya esnaf ve sanatkârlar sicil kayıt belgeleri (2024 yılı-Tüzel kişi )
f. Selçuklu Belediyesine her hangi bir borcu bulunmadığına dair belge,
g. Geçici Teminata ait alındı belgesi veya Banka teminat mektubu ( Süresiz ve limit içi ),
C- İsteklerin Ortak Girişim Olması Halinde:
6.
a. Ortak girişim olması halinde tasdikli ortak girişim beyannamesi ile ortaklarca imzalanmış ortaklık sözleşmesi ve A ve B bendinde belirtilen belgelerin ayrı ayrı verilmesi zorunludur.
7. Ödeme Şekli:
a. Gayrimenkulün varsa peşinat bedeli, bedelin tebliğinden itibaren 15 gün içerisinde ödenecek olup, peşinat ve taksit sayısı listede belirtilmiştir.
b. Kanunun öngördüğü tapu harcı, ihale sebebiyle tahakkuk edecek gazete ilan ücreti, damga vergisi (0,00569), sözleşme ücretleri (noter onaylı) ve kati teminat (% 6) alıcıya (müşteriye) aittir. İhale üçüncü kişilere devredilemez. K.D.V. den muaftır.
İlan olunur.

Satış yapılacak taşınmazlar

konya-merkezde-16-adet-tasinmaz-satiliyor-iste-fiyatlari.jpg

Bakmadan Geçme