Konya'da 38 adet taşınmaz uygun fiyatlarla satılacak
Konya'nın Çumra ilçesinde bazı taşınmazlar 28.02.2024 Çarşamba günü saat 14:00'te Açık Teklif Usulü ile satılacak.
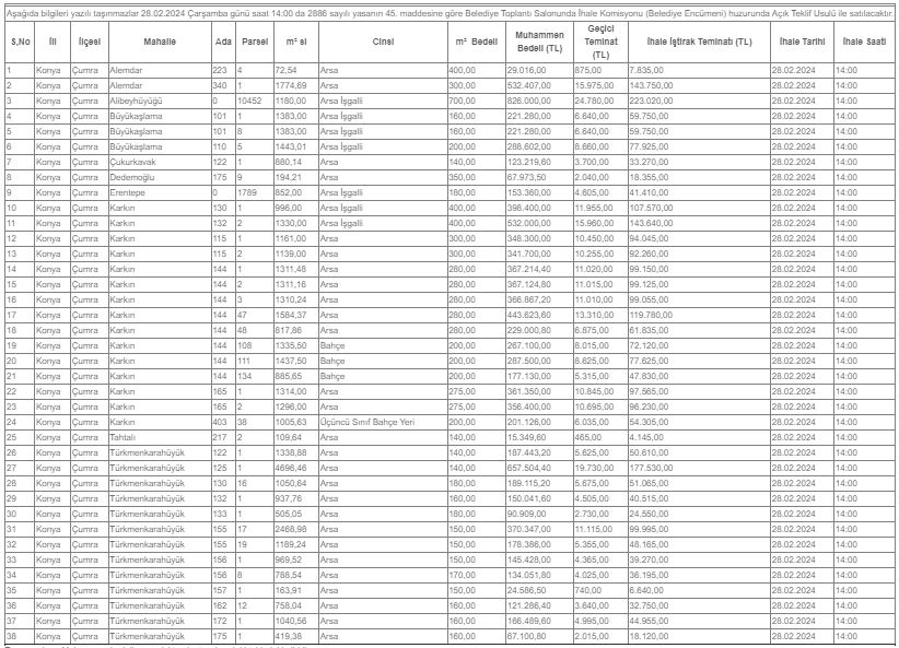
Konya'nın Çumra ilçesinde 9 farklı mahallede bulunan bazı taşınmazların ihaleyle satılacak.
Satışı yapılacak yerlerin bilgileri şöyle:

Çumra Belediye Başkanlığı'ndan duyurulan ilan ayrıntıları:
Taşınmazların Muhammen bedeli ve geçici teminatı yukarıdaki tablodaki gibidir,
Belediyemize ait Yukarıda belirtilen taşınmazların 2886 sayılı Devlet İhale Kanununun 45, Maddesi uyarınca Muhammen bedel üzerinden açık arttırma usulü ile tabloda belirtilen tarih ve saatlerde ihale edilecektir,
İhaleyi yapıp yapmamakta ve uygun bedeli tespitte İhale Komisyonu (Belediye Encümeni) tamamen serbesttir,
İsteyenler, Şartname ve Ekleri Strateji Geliştirme Müdürlüğünde ücretsiz olarak görebilirler. Şartname almak isteyenler Belediyemiz Strateji Geliştirme Müdürlüğü'nden 100,00,-TL, karşılığında temin edebilirler. İsteyenler ödemeleri Halkbank Çumra Şubesi Çumra Belediye Başkanlığı TR35 0001 2009 5170 0007 0000 01 hesabına yapabilirler.
İhaleye girecekler 28.02.2024 Çarşamba günü saat 12:00'a kadar;
a - Nüfus Cüzdanı veya kimlik yerine geçebilecek bir belgenin fotokopisi, Kanuni ikamet belgesi veya Türkiye de tebligat için adres beyanı,
b - Tüzel kişilerden imza sirküleri, Vekil ise noter tasdikli vekaletname ve imza sirküsü, ihaleye katılabilmek için yetki belgesi, tebligat için adres beyanı ve irtibat telefonu, teklif vermeye yetkili olduğunu gösterir imza beyannamesi, Şartname Bedelini ve Teminat bedellerini Belediyemiz veznesine yatırıp aldıkları makbuzu veya 2886 sayılı D,İ,Kanunun 26, maddesinde belirtilen teminat yerine geçen belgeyi, Strateji Geliştirme Müdürlüğü'ne vermeleri şarttır.
Ödemeler %30si Peşin, geriye kalan kısmı ise % 35 i 30.09.2024 tarihinde, % 35 i 30.03.2025 tarihinde 2 eşit taksitte ödenecektir. Satış Bedelini peşin ödeyenlere %10 indirim uygulanacaktır.
İlanda bulunan parsellere ilişkin konum ve mevki bilgileri "parselsorgu.tkgm.gov.tr" ve Belediyemiz Harita Müdürlüğü'nden öğrenilebilir.