Konya'da dükkandan meskene 53 adet taşınmaz kiraya verilecek
Konya'da merkez dahil bazı ilçelerdeki 53 adet Vakıf taşınmazlar kiraya verilecek.
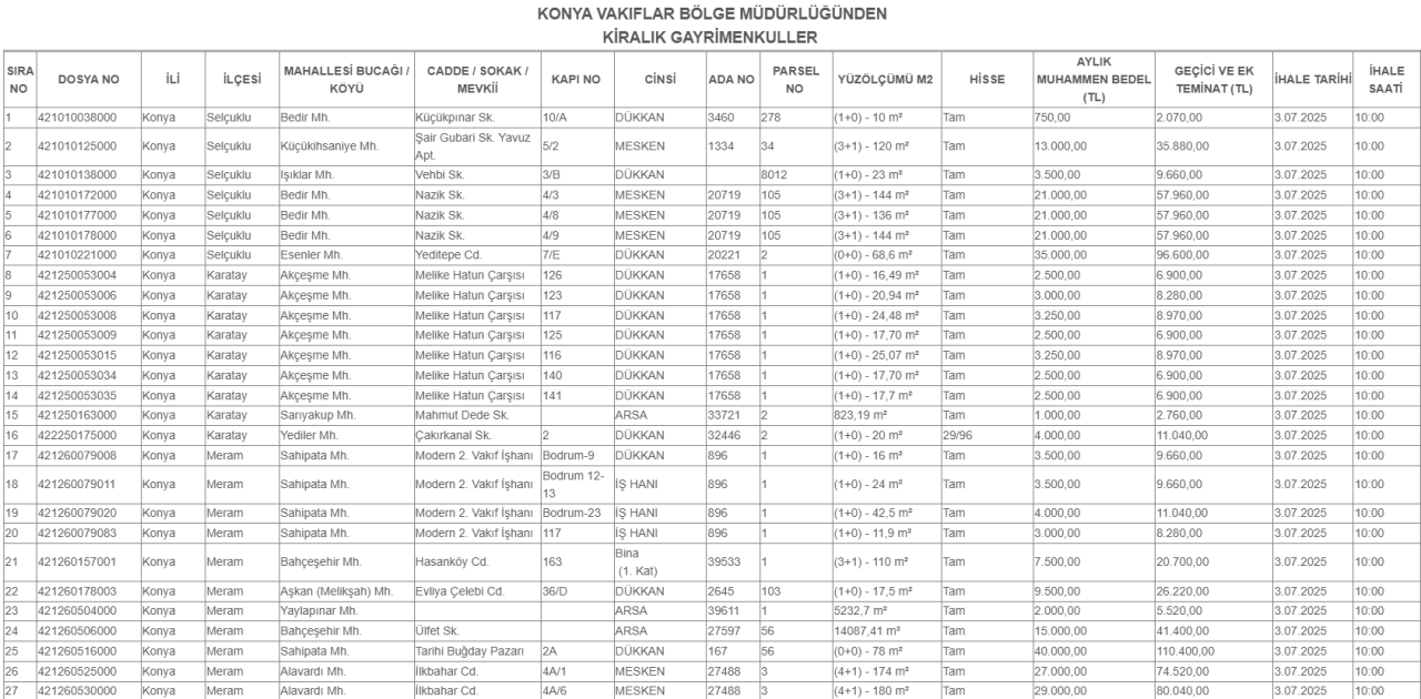
Konya'da Selçuklu, Karatay, Meram, Karapınar, Ilgın, Seydişehir, Ereğli, Hüyük ilçelerindeki dükkan, mesken, arsa, hamam, işhanı durumundaki 53 adet Vakıf taşınmazlar kiraya verilecek.
Kira sözleşmeleri yenilendiği her yıl için TÜİK'çe belirlenen TÜFE oranı, kiralananın durumu ile günün emsal rayiç kira bedelleri dikkate alınarak belirlenecek.
Gayrimenkullerin ihalesi 3 Temmuz 2025 günü saat 10:00'da Konya Vakıflar Bölge Müdürlüğü, Şemsi Tebrizi Mahallesi 1. Vakıf İşhanı No:33 Kat:3'te bulunan İhale Salonunda yapılacak.
İhalede kiraya verilecek bazı taşınmazların bilgisi şöyle:

KİRALIK GAYRİMENKULLERİN İLANINDA YER ALAN ŞARTLAR ŞÖYLE:
1- Listede bulunan Vakıf taşınmazlar 2886 Sayılı Devlet İhale Kanunun 45. maddesine göre açık teklif usulüyle, sözleşme tarihinden 31.12.2025 tarihine kadar kiraya verilecek olup kira sözleşmeleri yenilendiği her yıl için TÜİK'çe belirlenen TÜFE (Oniki aylık ortalamalara göre değişim%) oranı, kiralananın durumu ile günün emsal rayiç kira bedelleri dikkate alınarak kira bedelleri belirlenecektir.
2- Gayrimenkullerin ihalesi 03.07.2025 günü saat 10:00'da Konya Vakıflar Bölge Müdürlüğü, Şemsi Tebrizi Mahallesi 1. Vakıf İşhanı No:33 Kat:3'te bulunan İhale Salonunda yapılacaktır.
3- İsteklilerden 2886 Devlet İhale Kanunu gereğince istenecek belgeler;
a) Gerçek kişiler için ; Nüfus cüzdanı fotokopisi, tebligat adresi beyanı, geçici ve ek teminat makbuzu.
b) Şirket/Tüzel Kişi olarak katılacaklar için ; Şirket ortaklarının hisse durumları, şirketteki görevlerini belirten son durum gösterir ticari sicil gazetesi, tasdikli ticaret yada sanayi odası sicil kaydı, faaliyet belgesi, şirket ana sözleşmesi, imza sirküleri, şirket yetkilisinin nüfus cüzdan fotokopisi, tebligat adresi, yetki belgesini, şirketlerin kiracı olmaları durumunda şirket ortaklarının da şahsi mal varlığı ile sorumlu olduklarını kabul ettiklerini gösterir taahhütname, geçici ve ek teminat makbuzu.
c) Dernek olarak katılacaklar için ; Yönetim kurulu kararı, faaliyet belgesi, yetki belgesi, adres bildirimi, geçici ve ek teminat makbuzu.
4- İsteklilerin 3. maddede istenilen belgelerle birlikte 03.07.2025 günü saat:10:00'a kadar Bölge Müdürlüğümüze ait Vakıf Katılım Bankası Konya Şubesinde bulunan TR02 0021 0000 0020 0004 2000 01 no'lu Konya Vakıflar Bölge Müdürlüğü Mazbut Vakıflar hesabına Geçici ve Ek teminatı yatırmaları gerekmektedir. Teminatlar limit içi süresiz teminat mektubu olarak da kabul edilecektir.
5- İhalenin onaylanmasından sonra yasal süre içerisinde talipli sözleşme yapmaya yanaşmadığı takdirde ihaleye girerken yatırmış olduğu geçici ve ek teminat, Bütçe Kanunu hükümleri gereğince İdare Bütçesine irat kaydedilecektir, ayrıca 2886 sayılı Devlet İhale Kanununun 84. maddesi uyarınca talipli 1 yıl süre ile tüm kamu ihalelerinden yasaklanacaktır.
6- İhale ve sözleşme ile ilgili noter harcı, pul vb.bütün masraflar kiracıya aittir. Sözleşmeden sonra binalı taşınmazın; yangın, hırsızlık ve doğal afetlere karşı, kullananları tarafından Vakıflar Genel Müdürlüğümüz (Vergi No:9220035286) adına sigortalanması zorunludur.
7- Vakıf taşınmazlar mevcut durumları ile ihale edilecek olup, Kiracının İdareden izin almak suretiyle taşınmazda yapacağı her türlü işin masrafı yine kiracı tarafından karşılanır, taşınmazı boşalttığı durumda yaptığı her türlü işlerin tamamı Vakfa terk ve teberru edilir. İdaremizin istemesi halinde, taşınmaz malı masrafları kendisince karşılanmak üzere eski duruma getirmeye ve kiralananda meydana gelen zarar ve ziyanı ayrıca ödemeye zorunludur. İdareden izin alınmak suretiyle Kiracı, Elektrik ve Su abonesini kendi üzerine alacak ve bunlara tahakkuk edecek bedeli doğrudan ilgili kuruluşa yatıracak olup, ruhsat, elektrik, su, doğalgaz aboneliği alınıp alınamaması ile ilgili yükümlülük kiracıya aittir. Geçici ve Ek Teminat sözleşme yapıldıktan sonra iade edilecektir.Geçici ve Ek Teminatların geri ödemeleri, Katılımcıların Banka Hesap Numaralarına aktarılacaktır.Banka Hesap Numaraları olmayanların herhangi bir bankadan hesap açtırması gerekmektedir. İdaremiz gayrımenkulleri kira STOPAJ vergisinden muaftır.
8 - Bu ilan kiralık yer talebi ile ilgili İdareye verilen dilekçelere duyuru mahiyetinde olup, talipliler taşınmazı görmüş/görerek ihaleye girmiş sayılır.
9- Bu taşınmazların kira bedelleri her ayın 5. günü mesai sonuna kadar peşin olarak ödenir. Süresinde ödenmeyen İdare alacaklarına 5737 sayılı Vakıflar Kanununun 77. Maddesi gereğince 6183 sayılı Amme Alacaklarının Tahsili Usulü Hakkındaki Kanun hükümleri uygulanır.Genel ve Özel Şartlar mesai saatleri içerisinde Bölge Müdürlüğümüz Kiralama bürosunda görülebilir.
10 - İhale Komisyonu taliplileri ihaleye çağırırken listede belirtilen sıraya bağlı olmayıp, ihaleyi istediği sırada yapmakla serbesttir. İhale Komisyonu gerekçesini belirtmek suretiyle ihaleyi yapıp yapmamakta ve en uygun bedeli tespitte serbesttir.
11- İdaremize asıl veya müteselsilen borçlu veya ihale yasaklısı olan ile ihale uhdesinde kalsa dahi sözleşme yapılmayacaktır.
12- Kiracı kirası altındaki taşınmazı kısmen veya tamamen başkasına kiralayamaz, İdaremizin izni olmadan kullanma hakkını veya sözleşmesini başkasına devir edemez, ortaklık ve iş değişikliği yapamaz.
13- Vakıf taşınmazlar mevcut haliyle kiraya verilecektir. Taşınmazların kullanılabilir hale getirilmesi için yapılacak tüm masraflar İdareden izin alınarak kiracı tarafından karşılanacaktır. İdareden izin almak kaydıyla yapılacak her türlü iş ve işlemler Vakfa terk ve teberru edilmiş sayılır. İdaremizin talebi halinde, taşınmazı masrafları kiracı tarafından karşılanmak üzere eski duruma getirmeye ve kiralananda meydana gelen zarar ve ziyanı ayrıca ödemeye zorunludur.
14- Gayrimusakkaf taşınmazların kiraya verilmesi halinde üzerine yapılacak taşınabilir (ahşap, prefabrik, konteynır v.b.) yapı 10.00 m2'yi geçmeyecektir. Arsa vasıflı taşınmazlar üzerinde İdareden izin almak kaydıyla ticari faaliyet yapılması halinde faaliyetin gerektirdiği tüm izinlerin ilgili kurumlardan alınması kiracının sorumluluğunda olup İdaremizden herhangi bir hak ve bedel talebinde bulunulmayacaktır.
15- Açık teklif usulü ile yapılacak ihalede istekli çıkmayan taşınmazlar 15 gün süreyle pazarlık ihalesine bırakılacak olup bu hususta İdaremizden bilgi alınabilir. Pazarlık süresine bırakılan taşınmazlar için ayrıca bir ilan yapılmayacaktır.
16- Listenin 25., 30.-47. ve 50. sırasındaki taşınmazlar Eski Eser tescilli olup, kiracı bu konuda düzenlenen Eski Eser Teknik Şartnamesi hükümlerine uymak zorundadır.
17- Listenin 28. sırasındaki taşınmazın kira ödemeleri ilgili Vakfın hesap numarasına Vakfın hissesi oranında yapılacaktır. (Mustafa Özkendirci Vakfı (7375/41713), Mevlüt Ergin-İsmail Yüncü Vakfı (5750/41713), Mirahor Mehmet Bey Bin Yusuf Vakfı (25313/41713), Süleymanoğlu Haşim Çıkrıkçıoğlu Vakfı (3275/41713))
18- İbadethanelere 200 metreden yakın olan taşınmazlar Çay Ocağı, Kafe, Kıraathane, Müzik Evi, Oyun Salonu vb. gürültülü işlerde kullanılmayacaktır.
19- Kira sözleşmesi düzenlenirken kiracı kira ödemelerini aylık yapmak istediği takdirde 2 adet kefil (esnaf-zarar etmemiş veya memur-maaşında haciz bulunmayan) göstermek zorundadır. Kefiller evli iseler eşleri Noterden kefalete muvafakat verecektir. Sözleşme bedelinin peşin ödenmesi veya Banka Teminat Mektubu getirilmesi halinde kefil gösterme zorunluluğu yoktur.