Konya'da konuta uygun 38 adet taşınmaz satılacak
Konya'da haziane taşınmazı satış ilanı yayımlandı. İlana göre konut uygun 38 adet taşınmaz satılacak.
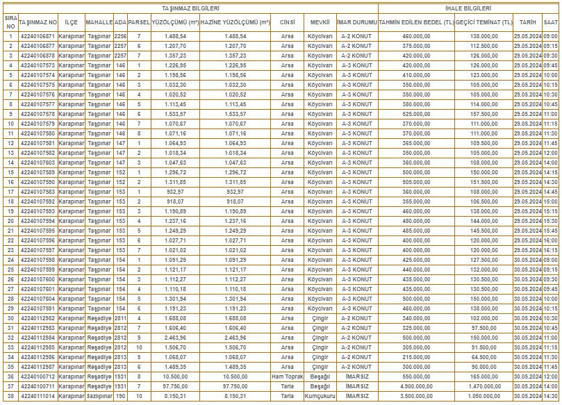
Konya'nın Karapınar ilçesinde 38 adet hazine taşınmazı ihale ile satılacak. Konuta uygun arsaların ihale ilanı yayımlandı.
İlçedeki satışı yapılacak arsaların bilgileri şöyle:

Karapınar'ın üç farklı ilçesindeki ihale taşınmazlarıyla ilgili ilanda yer alan şartlar şu şekilde:
1- Yukarıda özellikleri belirtilen taşınmazların satışı, 2886 Sayılı Devlet İhale Kanununun 45. Maddesine göre Açık Teklif Usulü ile hizalarında gösterilen gün ve saatte, Karapınar Milli Emlak Şefliği odasında dosyalarındaki mevcut şartnameler gereğince yapılacaktır.
2- Teklifler posta ile iadeli taahhütlü olarak gönderilebilir. Posta ile gönderilen tekliflerin ilanda belirtilen ihale saatine kadar Komisyon Başkanlığına ulaşması şarttır.
Postayla gönderilen teklifler son ve kesin teklif olarak kabul edilecektir.
Postada meydana gelen gecikmeler dikkate alınmayacaktır.
3- Satışı yapılan taşınmazlar K.D.V den satış ve devir işlemleri ile bu işlemler sırasında düzenlenen belgeler vergi, resim ve harçtan müstesnadır. Satışı yapılan taşınmazlar 5 yıl süreyle Emlak Vergisinden muaftır.
4- Satışı yapılan taşınmazlardan ayrıca % 1 oranında Döner Sermaye Bedeli tahsil edilecektir.
5- Satışı yapılan taşınmazların İhale bedelinin peşin ödenmesi halinde %20 indirim uygulanır. İhale bedelinin 5.000,00 TL'yi aşması halinde ise, talep üzerine bedelin 1/4 'ü peşin, kalan kısmı yıllık kanuni faiz uygulanmak suretiyle en fazla iki yılda, taksitler halinde ödenmek üzere taksitlendirme yapılabilecektir.
6- Şartname ve ekleri İdaremizde bedelsiz olarak görülebilir.
7- İhaleye katılabilmek için isteklilerin;
a) Yasal yerleşim yeri sahibi olmaları,
b) Tebligat için Türkiye'de adres göstermeleri,
c) Geçici teminata ait belge ile birlikte TC kimlik numarası bulunan Kimlik Belgesinin aslı ve fotokopisi (Geçici teminatların banka teminat mektubuyla verilmesi halinde, Teminat Mektubunun Geçici, Süresiz, Limit içi olması ve teyit yazısının da ibrazı gerekir.)
d) Özel Hukuk Tüzel kişilerinde 2024 yılı vizeli ticaret odası veya meslek odası sicil kaydı ve ihaleye katılacak kişi için düzenlenmiş noter tasdikli yetki belgesi ve imza sirküsü,
e) Gerçek şahıslar adına vekaleten katılacakların Noter tasdikli vekaletnamelerinin aslı ile birlikte Komisyon huzurunda hazır bulunmaları gerekir.
8- Muhesebe Yönetim Sisteminde her türlü ödemenin tahakkuku yoluyla sistem üzerinden iade işlemi gerçekleştirildiğinden, ihaleye katılım için ödenen geçiçi teminat bedelinin ihale takviminin sonuçlanmasından itibaren 15 (onbeş) gün sonra dilekçe ile belirtilecek banka hesap numarasına EFT/Havale yoluyla iade edilecektir.
9- İşgalli veya hisseli taşınmazlardan doğacak her türlü ihtilaflar alıcısına ait olup, Kurumumuzun herhangi bir sorumluluğu bulunmamaktadır.
10- Komisyon, ihaleyi yapıp yapmamakta serbesttir. Komisyonların ihaleyi yapmama kararı kesindir.
11- Türkiye genelindeki ihale bilgileri http://www.milliemlak.gov.tr adresinden öğrenilebilir.
Bakmadan Geçme