Konya'nın ilçesinde 27 adet Hazine taşınmazı ihale edilecek
Konya'nın Altınekin ilçesinde bazı taşınmaların satışı ve kiralanması için ilan yayımlandı.
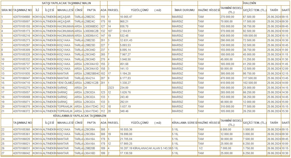
Konya'da Altınekin Kaymakamlığı Milli Emlak Şefliğince yayımlanan ilana göre Akçaşar, Hacınuman, Koçyaka, Mantar, Yeni Ölmez, Sarnıç, Topraklık mahallelerindeki arsaların satışı ve kiralanması gerçekleştirilecek.
İhaleyesi yapılacak arsa ve tarlaların bilgileri şöyle:

1- Yukarıda özellikleri belirtilen 1 ve 21'inci sıradaki taşınmazların satışı, 22 ile 27'nci sıra nolu taşınmazların kiralanması 2886 Sayılı Devlet İhale Kanununun 45. Maddesine göre Açık Teklif Usulü ile, hizalarında gösterilen gün ve saatte, Altınekin Kaymakamlığı Milli Emlak Şefliği İhale Odasında dosyalarında mevcut şartname gereğince yapılacaktır.
2- Teklifler posta ile iadeli taahhütlü olarak gönderilebilir. Posta ile gönderilen tekliflerin ilanda belirtilen ihale saatine kadar Komisyon Başkanlığına ulaşması şarttır. Postayla gönderilen teklifler son ve kesin teklif olarak kabul edilecektir. Postada meydana gelen gecikmeler dikkate alınmayacaktır.
3- Satışı yapılan taşınmazlar K.D.V den satış ve devir işlemleri ile bu işlemler sırasında düzenlenen belgeler vergi, resim ve harçtan müstesnadır. Satışı yapılan taşınmazlar 5 yıl süreyle Emlak Vergisinden muaftır.
4- Hazine taşınmazlarının; satış işlemlerinde satış bedeli, sınırlı ayni hak tesisi (irtifak hakkı) ve kullanma izni verilmesi işlemlerinde yıllık bedeller üzerinden, Döner Sermaye İşletmesi Müdürlüğü tarafından: 5 Milyon TL'ye kadar olan kısmı için % 1 (yüzde bir), 5 Milyon TL'den 10 Milyon TL'ye kadar olan kısmı için % 0.5 (binde beş), 10 Milyon TL'yi aşan kısmı için % 0.25 (on binde yirmi beş), 10 Milyon TL'yi aşan kısmı için % 0.25 (on binde yirmi beş) oranında işlem bedeli alınacaktır.
5- Satışı yapılan taşınmazların İhale bedeli defaten ödenebileceği gibi, ihale bedelinin 5.000,00.-TL'yi aşması halinde, talep üzerine bedelin 1/4 'ü peşin, kalan kısmı yıllık kanuni faiz uygulanmak suretiyle en fazla iki yılda, taksitler halinde ödenmek üzere taksitlendirme yapılabilecektir.
6- İhale Saati esnasında 3194 sayılı Kanunun geçici 16. maddesi kapsamında Yapı Kayıt Belgesi ibraz edilen taşınmaz ihalesi iptal edilecektir.
7- Şartname ve ekleri İdaremizde bedelsiz olarak görülebilir.
8-İhaleye katılabilmek için isteklilerin;
a) Yasal yerleşim yeri sahibi olmaları,
b) Tebligat için Türkiye'de adres göstermeleri,
c) Geçici teminata ait belge ile birlikte TC kimlik numarası bulunan Kimlik Belgesinin aslı ve fotokopisi (Geçici teminatların banka teminat mektubuyla verilmesi halinde, Teminat Mektubunun Geçici, Süresiz, Limit içi olması ve teyit yazısının da ibrazı gerekir.)
d) Özel Hukuk Tüzel kişilerinde 2024 yılı vizeli ticaret odası veya meslek odası sicil kaydı ve ihaleye katılacak kişi için düzenlenmiş noter tasdikli yetki belgesi ve imza sirküsü,
e) Gerçek şahıslar adına vekaleten katılacakların Noter tasdikli vekaletnamelerinin aslı ile birlikte Komisyon huzurunda hazır bulunmaları gerekir.
f) Muhasebe Yönetim sisteminde her türlü ödemenin tahakkuk yoluyla sistem üzerinden iade işlemi gerçekleştirileceğinden, ihaleye katılım için ödenen geçici teminat bedelini ihale takviminin sonuçlanmasından itibaren 15 (onbeş) gün sonra dilekçe ile belirtilecek banka hesap numarası EFT/havale yoluyla iade edilecektir.
9-İşgalli veya hisseli taşınmazlardan doğacak her türlü ihtilaflar alıcısına ait olup, Kurumumuzun herhangi bir sorumluluğu bulunmamaktadır.
10-Komisyon, ihaleyi yapıp yapmamakta serbesttir. Komisyonların ihaleyi yapmama kararı kesindir.
11-Türkiye genelindeki ihale bilgileri http://www.milliemlak.gov.tr adresinden öğrenilebilir.
Bakmadan Geçme