Son Dakika! Merkez Bankası rezervlerinde tarihi rekor

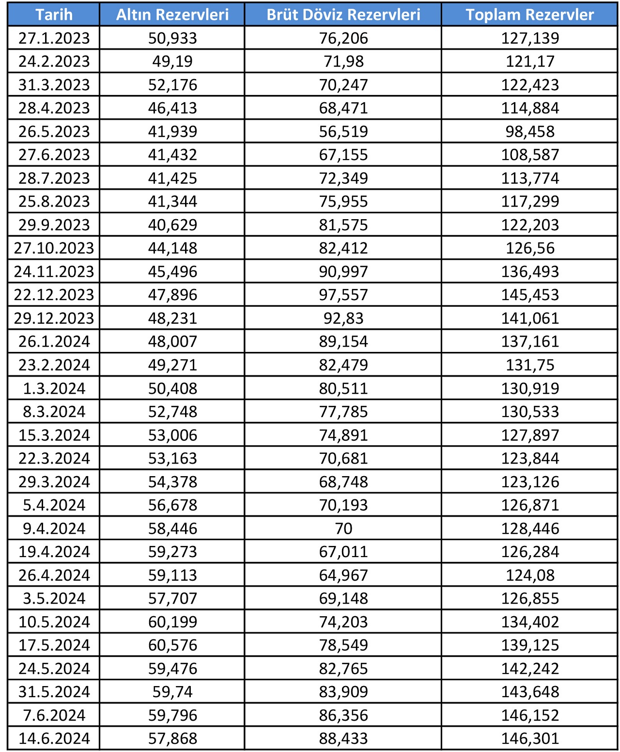
Son Dakika Haberi... Merkez Bankasının toplam rezervleri, 14 Haziran haftasında bir önceki haftaya göre 149 milyon dolar artarak 146 milyar 301 milyon dolarla tüm zamanların en yüksek seviyesine çıktı

Türkiye Cumhuriyet Merkez Bankasının (TCMB) toplam rezervleri, 14 Haziran haftasında, bir önceki haftaya göre 149 milyon dolar artarak 146 milyar 301 milyon dolarla tüm zamanların en yüksek seviyesine çıktı.

TCMB, haftalık para ve banka istatistiklerini açıkladı.

Buna göre, 14 Haziran itibarıyla Merkez Bankası brüt döviz rezervleri 2 milyar 77 milyon dolar artışla 88 milyar 433 milyon dolara yükseldi. Brüt döviz rezervleri, 7 Haziran'da 86 milyar 356 milyon dolar seviyesinde bulunuyordu.

Bu dönemde altın rezervleri de 1 milyar 928 milyon dolar düşüşle 59 milyar 796 milyon dolardan, 57 milyar 868 milyon dolara geriledi.

Böylece Merkez Bankasının toplam rezervleri, 14 Haziran haftasında bir önceki haftaya kıyasla 149 milyon dolar artarak 146 milyar 152 milyon dolardan, 146 milyar 301 milyon dolara çıktı.

tcmb-rezervleri-ocak-2023ten-bu-yana-soyle-milyon-dolar.jpg

AA

Bakmadan Geçme